PI: Liu Kuixing
Keywords:
Outdoor thermal comfort; Radiation heat transfer model; Local thermal sensation


Abstract:
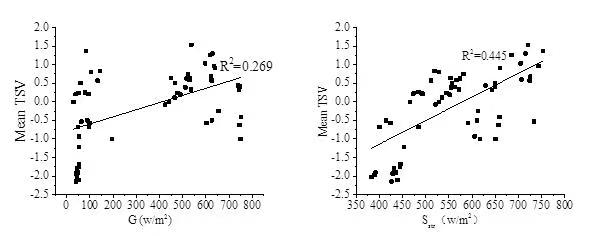
Comfortable outdoor environment, which could enhance motivation and initiative of outdoor activities, becomes increasingly significant for future urban development. Current research on outdoor thermal comfort is yet on the initial stage, especially the radiation part which exerts great influence on human thermal sensation. Both theoretical principle and experimental analysis are lack of combination with local environment characteristics. The object of this study focuses on human body in outdoor thermal environment, and researches on mechanism of thermal comfort for outdoor radiation, as well as thermal comfort evaluation in cold regions. Through theoretical analysis, field investigation and simulation test statistical analysis method,the model of anisotropic radiation heat transfer of multiple nodes in human body which meet the need of thermal comfort would be set up. This project reveals the regularity of typical radiation index influences on the local thermal sensation and overall thermal sensation, in order to conclude a highly accurate and widely applicable dynamic radiation module of outdoor thermal comfort model. The module would quantitatively analyze meteorology application scope and evaluation results of annual outdoor thermal comfort in cold regions. This subject provides scientific basis to improve the standards for building design and outdoor thermal environment protection and provide guidance for site and landscape design.